Diode Node Voltage

E72 Lab Diodes

Diodes Learn Sparkfun Com

Node Voltage Method Dc Network Analysis Electronics Textbook

Circuit With One Voltage Source Calculating Voltages At

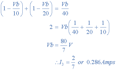
Determine Current And Voltage For The Given Diode Circuit

Voltage Of Opened Diode Electrical Engineering Stack Exchange

Pspice Examples For Ee 253

Non Linear Dc Analysis

Nodal Voltage Analysis And Nodal Analysis

Understanding Current Voltage Curves Of Non Linear Devices

Is Diode Symbol Reversed In Kicad Kicad
Voltage Multiplier Wikipedia

Zener Diode Makes For A Lousy Regulator Bald Engineer

What Is Voltage Drop And What Voltage How Are They

Lessons In Electric Circuits Volume Iii Semiconductors
Comments
Post a Comment